Random variables are functions from the sample space to the real line.
Probability space:
If outcome is very rich, study parts of it by defining random variables

Consider a random variable
Distribution Function of
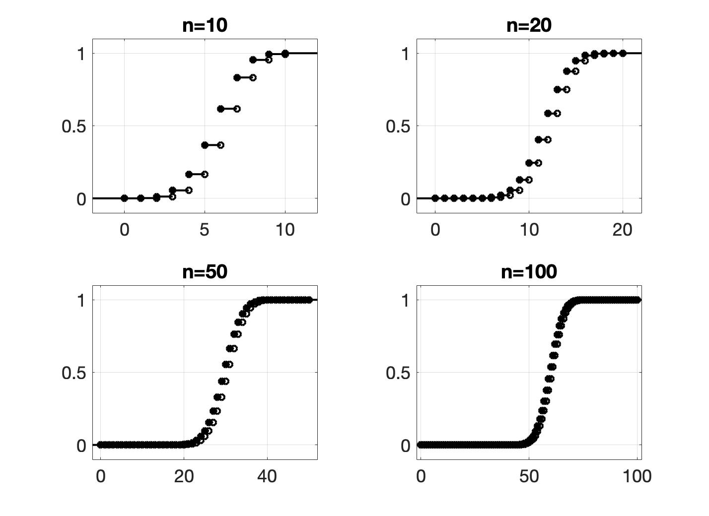
Distribution function is commonly called Cumulative Distribution Function (CDF)
Example: Toss a coin,


Discrete random variables take values in a discrete set
Consider a discrete random variable
Probability Mass Function (PMF) of
Example: Toss a coin,


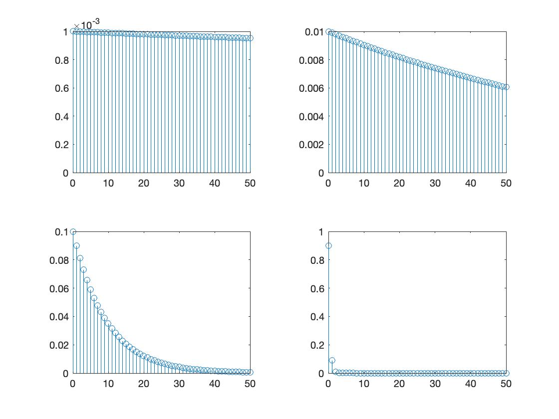
Some PMFs (or CDFs) occur commonly, and are named for ease of reference
PMF:

CDF:

Geometric

Poisson

Given any valid PMF
What about the probability space needed for defining
For many textbook computations, the connection to a probability space is not necessary
In most real-life probabilistic models, random variables are defined in a probability space